- Статья
- Видео
Из чего состоит система?
Главным элементом в устройстве считается полый электрод, который имеет форму трубы в форме L (на рисунке он помечен цифрой 1).


Ее устанавливают в грунт на глубину до одного метра (зона протайки грунта) и заполняют специальной смесью, которая включает в себя минеральные соли. 2 – это специальный колодец, который облегчает работу. 3 – зажим, с помощью которого соединяются электрод и заземляющий проводник. 4 – гидроизоляционная лента, которая защищает от попадания влажности на заземление и препятствует возникновению коррозии.
На фото наглядно показано, как выглядит заземлитель:


Принцип работы
Устройство работает на основе протекания химических реакций, которые увеличивают электрическую проводимость почвы. Электролитическое заземление условно работает по следующему механизму:
- Смесь, которую заливают в полный электрод, впитывает в себя из окружающей среды воду через специальные отверстия в устройстве.
- Происходит реакция воды с солью и в результате образовывается электролит, который просачивается в грунт. Благодаря этой смеси почва становится с большей электропроводностью и менее склонной к промерзанию.
Эта реакция происходит в не зависимости от температуры окружающей среды и грунта.
Особенность применения
Во время уменьшения температуры замерзания почвы, возле устройства образуется зона талика. Она может представлять опасность для фундаментов зданий, объектов и дорожного покрытия, которые находятся рядом. Зона талика имеет вид овала и его размер на поверхности почвы составляет 3х6 метров.
При проектных работах необходимо учитывать этот факт и устанавливать электролитическое заземление на определенном расстоянии от объектов и зданий, которым оно может принести ущерб и вред.
Преимущества заземления
Если сравнивать стандартные заземлители, то электролитический обладает рядом своих преимуществ, а именно:
- Монтаж конструкции быстрый и удобный, так как труба с электролитом имеет небольшие размеры и не требует больших земельных работ. Такой агрегат можно установить без дополнительной помощи профессионалов, своими руками.
- Смесь внутри электролита вступает в реакцию не сразу, тем самым поддерживая постоянный электролитический баланс в грунте.
- Продукт, что получается в результате реакции, не опасный и не приведет к возникновению коррозии на металлических элементах конструкции.
- Длительность реакции позволяет применять ее до 15 лет.
Такой заземляющий контур, несмотря на множество достоинств, применяется в особенных случаях, где нет возможности установить обычный заземлитель. Это объясняется высокой стоимостью комплекта.
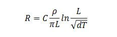
Методика расчета
Рассчитать электролитическое заземление можно по следующей формуле:


где:
- С – коэффициент наличия электролита;
- p — удельное сопротивление почвы;
- L — длина заземляющего устройства (измеряются в метрах);
- d — диаметр заземлителя;
- T — заглубление (расстояние от заземлителя до поверхности грунта).
Правила обслуживания
Уход и обслуживание электрода не приносит много хлопот, так как не представляет ничего сложного. Заключается уход в следующем: один раз на несколько лет необходимо открывать крышку электрода, а также определять уровень солевой смеси в конструкции. В случае полного превращения смеси в электролит, в электролитическое заземление следует засыпать еще необходимое количество соли.


В этом заключается вся суть обслуживания. Электрод способен зарядиться на много лет (до 15 лет службы). Поэтому проводить первый осмотр рекомендуется через данный промежуток времени.
Напоследок рекомендуем просмотреть видео, на которых наглядно демонстрируется, как сделать электролитическое заземление своими руками:
Вот мы и рассмотрели устройство, назначение и правила монтажа электролитического заземления. Надеемся, инструкция была для вас полезной и интересной!
Наверняка вы не знаете:
- Как проложить кабель под землей
- Программы для расчета заземляющего контура
- Экономное отопление гаража электричеством