Основным элементом обеспечения безопасности электроустановок является защитное заземление. Сопутствующие системы: автоматические защитные выключатели, предохранители, молниезащита — не могут функционировать при его отсутствии, и становятся бесполезными.
Что такое заземление
Это комплекс, состоящий из металлических конструкций и проводников, который обеспечивает электрический контакт корпуса электроустановки с физической землей, то есть с грунтом. Система начинается с заземлителя: металлического электрода, заземленного в грунт. Эти элементы не могут быть одиночными, для надежности они объединяются в заземляющий контур.


Как это работает
Внешний контур заземления (который находится непосредственно в грунте), соединяется с помощью надежного проводника с внутренним контуром в помещении, или с щитком заземления. Далее, с помощью внутренней сети защитных проводников, производится подключение к корпусам электроустановок, и контактам заземления на коммутационных устройствах (распределительные щитки, коробки, розетки и прочее).
Устройства, генерирующие электроэнергию, также имеют систему заземления, с которой соединяется нулевая шина. При возникновении аварийной ситуации (фаза соединилась с корпусом электроустановки), возникает электрическая цепь между фазным проводником и нулевой шиной по линии заземления. Сила тока в аварийной цепи спонтанно возрастает, срабатывает устройство защитного отключения (автоматический выключатель) или перегорает предохранительная вставка.
Результат работы исправной системы:
- не происходит возгорание силового кабеля (опасность пожара);
- предотвращается возможность поражения электротоком при касании аварийного корпуса электроустановки.
Сопротивление тела человека в десятки раз выше, чем сопротивление заземления. Поэтому сила тока (при наличии фазы на корпусе электроустановки) не достигнет опасной для жизни величины.


Из чего состоит заземление
- Внешний контур заземления. Располагается за пределами помещений, непосредственно в грунте. Представляет собой пространственную конструкцию из электродов (заземлителей), соединенных между собой неразделимым проводником.
- Внутренний контур заземления. Токопроводящая шина, размещенная внутри здания. Охватывает периметр каждого помещения. К этому устройству подсоединяются все электроустановки. Вместо внутреннего контура может быть установлен щиток заземления.
- Заземляющие проводники. Соединительные линии, предназначенные для подключения электроустановок непосредственно к заземлителю, или внутреннему контуру заземления.
Рассмотри эти компоненты подробнее.
Внешний, или наружный контур
Монтаж контура заземления зависит от внешних условий. Прежде чем начать расчет, и выполнить проектный чертеж, необходимо знать параметры грунта, в котором будут установлены заземлители. Если вы сами строили дом, эти характеристики известны. В противном случае лучше вызвать геодезистов, для получения заключения по грунту.
Какие бывают грунты, и как они влияют на качество заземления? Примерное удельное сопротивление каждого типа грунта. Чем оно ниже, тем лучше проводимость.
- Глина пластичная, торф = 20–30 Ωм·м
- Суглинок пластичный, зольные грунты, пепел, классическая садовая земля = 30–40 Ом·м
- Чернозем, глинистые сланцы, полутвердая глина = 50–60 Ом·м
Это лучшая среда для того, чтобы установить наружный контур заземления. Сопротивление растекания тока будет достаточно низким даже при малом содержании влаги. А в этих грунтах естественная влажность обычно выше среднего.
- Полутвердый суглинок, смесь глины и песка, влажная супесь — 100–150 Ом·м
Сопротивление немного выше, но при нормальной влажности параметры заземления не выйдут за нормативы. Если в регионе установки установится продолжительная сухая погода, необходимо принимать меры к принудительному увлажнению мест установки заземлителей.
- Глинистый гравий, супесок, влажный (постоянно) песок = 300–500 Ом·м
Гравий, скала, сухой песок – даже при высокой общей влажности, заземление в такой почве будет неэффективным. Для соблюдения нормативов, придется устанавливать глубинные заземлители.


Важно! Неверный расчет контура заземления, игнорирование параметров, часто приводят к печальным результатам: поражение электротоком, выход из строя оборудования, возгорание кабеля.
Многие владельцы объектов, экономя «на спичках», просто не понимают, для чего нужен контур заземления. Его задача при соединении фазы с землей обеспечить максимальную величину тока короткого замыкания. Только в этом случае быстро сработают устройства защитного отключения. Этого невозможно достичь, если сопротивление растекания тока будет высоким.
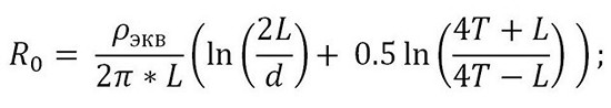
Определившись с грунтом, вы сможете выбрать тип, и самое главное — размер заземлителей. Предварительный расчет параметров можно выполнить по формуле:


Расчет приведен для вертикально установленных заземлителей.
Расшифровка величин формулы:
- R0 — полученное после вычисления сопротивление одного заземлителя (электрода) в омах.
- Рэкв — удельное сопротивление грунта, см. информацию выше.
- L — общая длина каждого электрода в контуре.
- d — диаметр электрода (если сечение круглое).
- Т — вычисленное расстояние от центра электрода до поверхности земли.
Задавая известные данные, а также меняя соотношение величин, вы должны добиться значения для одного электрода порядка 30 Ом.
Если установка вертикальных заземлителей невозможна (по причине качества грунта), можно рассчитать величину сопротивления горизонтальных заземлителей.
Важно! Монтаж горизонтального контура более трудоемок и связан с повышенным расходом материала. К тому же, такое заземление сильно зависит от сезонной погоды.
Поэтому лучше потратить больше времени на забивание вертикальных стержней, чем следить за барометром и влажностью воздуха.


И все же приводим формулу расчета горизонтальных заземлителей.


Соответственно, расшифровка дополнительных величин:
- Rв — полученное после вычисления сопротивление одного заземлителя (электрода) в омах.
- b — ширина электрода — заземлителя.
- ψ — коэффициент, зависящий от погодного сезона. Данные можно взять в таблице:


- ɳГ — так называемый коэффициент спроса горизонтально расположенных электродов. Не вдаваясь в подробности, получаем цифры из таблицы на иллюстрации:




Предварительный расчет сопротивления необходим не только для правильного планирования закупок материала: хотя будет обидно, если вам не хватит для завершения работ, пары метров электрода, а до магазина несколько десятков километров. Более-менее аккуратно оформленный план, расчеты и чертежи, пригодятся для решения бюрократических вопросов: при подписании документов о приемке объекта, или составлении ТУ с компанией энергосбыта.
Разумеется, никакой инженер не подпишет бумаги только на основании пусть и красиво исполненных чертежей. Будут произведены замеры сопротивления растекания.
Далее расскажем о том, как добиться правильных характеристик внешнего контура заземления.
Технология проведения работ
Выбираем место размещения заземлителей. Разумеется, недалеко от дома (объекта), чтобы не пришлось прокладывать длинный проводник, который придется механически защищать. Желательно, чтобы вся площадь контура находилась на территории, которую вы контролируете (являетесь собственником). Чтобы в один прекрасный момент, ваша защитная «земля» не была выкопана пьяным экскаваторщиком. Так что забивать штыри за забором не будем.
Подойдет огород (за исключением картофельной грядки), палисадник, клумба возле дома. Возделываемые участки предпочтительнее, они регулярно поливаются. А дополнительная влага в земле пойдет на пользу заземлению. Если ваш грунт обладает низким удельным сопротивлением — можно установить заземление на площадке, которая затем будет покрыта асфальтом или плиткой. Под искусственным покрытием земля не пересушивается. Да и риск повредить контур заземления минимален.
Разумеется, необходимо учитывать дальнейшие планы. Если в месте установки контура через год появится гараж со смотровой ямой — лучше сразу выбрать место поспокойнее.
В зависимости от формы площадки, выбираем порядок расположения электродов: в линию, или треугольником.
Важно! Вне зависимости от расположения, вертикальных заземлителей должно быть не менее трех.
Если выбран треугольник — размечаем площадку соответствующей формы со сторонами 2.5–3 метра. Копаем траншею в форме равностороннего треугольника на глубину 70–100 см, шириной 50–70 см. Мы знаем, что все заземлители соединяются между собой. Проводник должен быть углублен на расстояние не менее 50 см, с учетом минимального уровня грунта (например, вскопка грядки). Если сверху будет уложено покрытие — его толщина в расчет не берется. Только чистый грунт.
Можно выбрать весь грунт, не только по периметру траншеи. Получится треугольная яма глубиной 0.7–1.0 м. Готовый контур можно будет засыпать грунтом с низким удельным сопротивлением. Например, золой или пеплом. Соли проникнут в землю, и будут способствовать снижению общего сопротивления растекания тока.


После чего, по углам ямы (траншеи) начинаем забивать электроды.
Параметры заземлителей (рассматриваем вертикальное расположение)
- Сталь без гальванического покрытия:
Круг — диаметр 16 мм.
Труба — диаметр 32 мм.
Прямоугольник или уголок — площадь поперечного сечения 100 мм².
- Сталь оцинкованная
Круг — диаметр 12 мм.
Труба — диаметр 25 мм.
Прямоугольник или уголок — площадь поперечного сечения 75 мм².
- Медь
Круг — диаметр 12 мм.
Труба — диаметр 20 мм.
Прямоугольник или уголок — площадь поперечного сечения 50 мм².
Важно! Категорически запрещено бурить скважины, а затем погружать в них заземлители. При таком способе монтажа сопротивление увеличивается в разы.
Грунт должен плотно облегать металлическую поверхность заземлителя. Красить электроды запрещено!
А как быть, если по расчетам длина каждого из трех электродов превышает 1.5–2 метра? Есть небольшие секреты.
- Электроды забивают не кувалдой, а вибратором, отбойным молотком с насадкой, или перфоратором. Кувалда подойдет для высоты чуть более 1 метра. Это вариант для идеального грунта с наименьшим сопротивлением.
- Совершенно не обязательно устанавливать трехметровую стремянку. Длинные электроды соединяются между собой по мере погружения в грунт. Если вы купили фабричный комплект — заземлители составные, можно набрать из сегментов любую длину.


- Для кустарного изготовления также есть способ забить в землю 4 метровый уголок. Нарезаем электрод на куски по 1.5 метра. Забиваем первый сегмент. Привариваем к нему следующий — забиваем далее. И так до расчетной глубины.
Информация: часто бывает, что заземлитель упирается в монолитное препятствие (например, на глубине 2.5 метра), а расчетная глубина — 3.5 м. В этом случае электрод просто обрезается, а в контуре заземления будет добавлен еще один стержень, для компенсации потерянной длины.
- Если забить стержни на расчетную глубину не получается в принципе — опять же берем количеством. Линейный перерасчет (типа: вместо трех по 4 метра, забиваем шесть по 2 метра длиной) не работает. Количество заземлителей определяется только последующим замером сопротивления растекания тока.
Соединяем электроды проводником. Если арматура стальная — лучше всего подойдет сварка. Медные стержни соединяются болтовой стяжкой, проводник должен иметь сечение не менее 30% от сечения электродов.
После сборки контура, проводим замеры сопротивления растекания тока. Требования к контуру заземления для индивидуального жилья — 10 Ом. Измерение лучше доверить сертифицированным специалистам, у которых имеется соответствующее оборудование. Тем более, что при получении ТУ от энергетиков, вам все равно придется представить систему заземления для измерений. Если сопротивление выше нормы — добавляем электроды и привариваем их к контуру. Пока не получим норму.


Контур заземления внутри объекта
Как правило, это стальная шина, проложенная открытым способом по внутренней поверхности стен, вблизи пола.


В индивидуальных жилых домах монтаж внутреннего контура заземления не проводится. По причине невысокого класса опасности помещения, и небольшого количества электроустановок. Вместо внутреннего контура устанавливается заземляющий щиток, или главная заземляющая шина (ГХШ).


Щиток соединяется либо с внутренним контуром (как на иллюстрации), либо с помощью проводника с внешним контуром заземления. Непосредственно от щитка выполняется разводка проводников защитного заземления по электроустановкам. Часто вместо щитка заземления, может применяться контактная колодка «PE», непосредственно во входном щите квартиры.


Итог
Мы подробно рассмотрели, что такое контур заземления, для чего он нужен, и каким он должен быть согласно ПУЭ. Самостоятельная установка не снижает ответственности: от выполнения требований безопасности зависит ваша жизнь, и жизнь домочадцев.