Монтаж СИП провода – этапы и требования


Сооружение новых электрических линий или реконструкция старых требует определенного подхода к монтажным работам, которые обозначены правилами и стандартами. К примеру, в линиях напряжением 0,38 кВ применяются самонесущие провода СИП изолированного типа. Именно такие электрические линии гарантируют высокую надежность эксплуатации, плюс ко всему ремонт СИП проводам необязателен. Поэтому сама эксплуатация СИП линий требует только профилактических осмотров, которые проводятся с определенной периодичностью. Цель этой статьи – монтаж СИП, по каким правилам проводятся монтажные работы.
Исходные данные для расчета тяжений и стрел провеса кабеля
Объем данных, необходимый для качественного расчета тяжений и стрел провеса может поставить в тупик, однако, не стоит отчаиваться. Большинство из перечисленных характеристик можно легко найти в технических паспортах линий и сертификатах кабелей.
Для получения достоверных результатов требуется:
- Паспорт линии или монтажная ведомость опор ВЛ;
- Продольный профиль линии электропередач (эти данные повышают точность расчетов с поправкой на рельеф);
- Марки используемых проводов и тросов, а также ранее подвешенных кабелей;
- Полный перечень характеристик проектируемых кабелей (диаметр, площадь сечения, допустимые тяжения, модули упругости, коэффициент линейного температурного расширения, погонная масса);
- Климатические характеристики района (толщина стенки гололеда, максимальная и минимальная температуры, максимальная скорость ветра);
- Особые условия (переходы рек, пересечения со зданиями и сооружениями).
Это основные данные, для более точного расчета может понадобиться дополнительная информация (пересечения линии и т.д.)
Требования к монтажу, его этапы
- Сам монтажный процесс начинается с расчистки трассы. Необходимо срезать деревья или крупные ветки, которые могут касаться воздушной линии, и которые могут мешать установке опорных столбов.
- Далее производится раскатка самого провода СИП и его регулировка. Здесь есть очень важный момент. Провода не должны касаться бетонных опор и металлических конструкций, а также земли.
Внимание! Если производится прокладка новой трассы, то металлические крепежные изделия должны быть прикреплены на опорах еще до их установки. Это упрощает сам процесс крепления, ведь наверху это сделать будет непросто. Во всяком случае, для этого потребуется спецтехника или придется электрикам использовать когти.
- Что касается крепления кронштейнов, то они устанавливаются на опорах в верхней их части, скрепляемые металлической лентой. При этом концы ленты между собой крепятся специальным устройством, который называется скреп. Это приспособление, во-первых, закрепляет ленту, во-вторых, стягивает ее, в-третьих, убирает ее излишки.
- Производится установка опорных столбов в подготовленные заранее колодцы. Здесь важно соблюсти их ориентацию, то есть, кронштейны всех столбов должны быть направлены в одну сторону.
- Далее, производится монтаж проводов.


Монтаж проводов СИП
Необходимо обратить внимание на то, что установка и крепление провода СИП (его технические характеристики определяют воздушную установку) осуществляется только на основе технологических карт и схем, для чего используются определенные инструменты, приборы, арматура и механизмы. Сам монтажный процесс можно проводить только при температуре не ниже +20С.
Предварительно провод СИП раскатывают, используя канат-лидер и раскаточные ролики. Данная монтажная технология обеспечивает защиту самого провода от механического повреждения, плюс обеспечивает качество долгосрочной эксплуатации всей электрической воздушной трассы. Конечно, соблюдение требований техники безопасности является основным правилом монтажа СИП провода. Необходимо отметить, что провода можно раскатать и вручную без использования спецтехники. но для этого должны быть учтены определенные условия:
- Сечение СИП провода не должно быть больше 50 мм².
- Максимальный пролет между опорными столбами не больше 100 м.
Кстати, эти условия часто можно встретить в загородных поселках, поэтому монтажники весь процесс проводят, не используя раскаточных механизмов.
Раскатка СИП вручную
На какие этапы делится ручная раскатка СИП?
- Устанавливается барабан с проводом.
- Производится соединение СИП с канат-лидером.
- Раскатка сдвоенного материала по роликам.
- Осуществляется крепление провода и его натяжка.
- Крепление в зажимах.
А теперь некоторые основные моменты ручного монтажа. Барабан устанавливается от первой опоры на расстоянии не меньше высоты самого столба, обычно оно больше. Канал-лидер к проводу крепится верлюгой и монтажным чулком. На сам столб устанавливается ролик, поддерживаемый ремнем. На остальные промежуточные столбы ролики устанавливаются при помощи крюков.


Теперь сам монтаж. Оно должен проводиться параллельно установке роликов на опорах. То есть, установили ролик, хорошо его закрепили, после чего через него протаскивается канат-лидер, далее пучок самого провода. Все это делается наверху, так что один человек должен там находится. Остальные работники помогают раскатывать барабан и подавать ролики и инструменты.
Внимание! Раскатка барабана, а, значит, и самого кабеля должна проводиться со скоростью не больше 5 км/ч. Как уже было сказано выше, при этом сам провод не должен касаться металлических, бетонных поверхностей, а также грунта.
Теперь можно проводить натяжку электрической трассы. Для этого на первом столбе прикрепляется лебедка, на которой установлен динамометр, и лягушка (это тендер). С помощью лебедки производится натяжка, при этом состояние качества провеса определяется по специальным таблицам. Перед натяжкой противоположный конец провода необходимо закрепить на последнем столбе анкерным зажимом. При этом оставляется не очень длинный свободный конец, который в дальнейшем используется для последующего подключения или соединения с другим участком. Если натяжка закончена, то надо дать некоторое время, чтобы провод еще провис под собственным весом. Если размер провиса после этого не изменился, то можно переходить к следующему этапу. Если провис увеличился, то придется подтянуть СИП лебедкой.
Теперь на обоих столбах надо закрепить провод анкерными зажимами наглухо. Сам жгут стягивается стельными хомутами. После чего можно снять лебедку и подрезать концы кабеля под необходимый размер. На промежуточных опорах СИП провод с роликов укладывается в поддерживающие зажимы.
Так как по опорным столбам будет прокладываться и нулевая жила, и фазные, то между ними обязательно устанавливаются так называемые отделительные клинья. Нулевая жила укладывается в зажим, а фазные жилы устанавливаются на расстоянии 15 см от зажима и крепятся стяжными хомутами по разные стороны от него. Третья фаза закрепляется на среднем стяжном хомуте. Он, в свою очередь, вставляется в специальное отверстие, расположенное в самом зажиме.
Все, можно считать, что один участок провода СИП закончен.
Как соединить участки
Для того чтобы соединить между собой два конца провода СИП, необходимо использовать специальный зажим. Он герметичный и очень прочный. Поэтому перед соединением концы двух участков зачищаются и вставляются в зажим. Далее, на него надевается матрица (она шестигранная) ручного гидравлического пресса. После чего пресс приводится в действие рукояткой. Качать надо до того, пока матрица не сожмется до конца.


Если есть необходимость провести ответвление от основной трассы, то лучше всего использовать прокалывающие зажимы. Здесь нет необходимости очищать СИП провод от изоляции и проводить прямое соединение жил. Просто надо установить зажим и создать необходимое на него давление. При этом зубцы контактных пластин проникнут сквозь изоляцию и плотно соприкоснутся с голым проводом. Для герметизации концов зажима устанавливают специальные колпачки.
Применение
Кабель используется при монтаже воздушных ЛЭП. Кабель передает и распределяет электрическую энергию между потребителями, параметры переменного тока в сети должны соответствовать характеристикам 20 кВ (35 кВ максимум), 50 Гц. Прокладка ведется в районах с умеренным, холодным и тропическим климатом на территории промышленных и морских участков (морское побережье, берег соленого озера, площади с засоленным песком).


Проводник используется при устройстве участков трасс, ответвлений и отпаек в условиях соблюдения правил распределения напряжения. Провод самонесущий СИП-3 может монтироваться в городской черте, сельской местности, незаселенных участках, где требуется прокладка магистралей значительной протяженности с минимальными потерями напряжения. Благодаря возможности монтажа на опорах, установленных на большом расстоянии друг от друга, кабель прокладывают над историческими и архитектурными памятниками. Это не нарушает общей композиции.
Провод применим только для подключения первой категории потребителей. За счет возможности подбора требуемого сечения достигается сокращение материальных затрат на возведение дополнительных подстанций.
Запас на провис провода вл


Одним из наиболее важных моментов при монтаже провода СИП, является задание ему правильного тяжения.
При строительстве ВЛИ и ВЛЗ вы можете использовать современные и супердорогие инструменты и приспособления (мотолебедка), применять надежную европейскую арматуру (Ensto и Sicame), но стоит вам ошибиться всего лишь в одном моменте, грубо говоря перетянуть СИП больше положенного, и через год вся ваша работа пойдет насмарку.
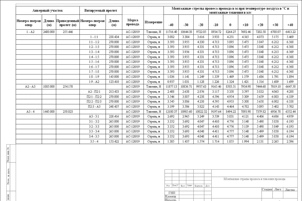
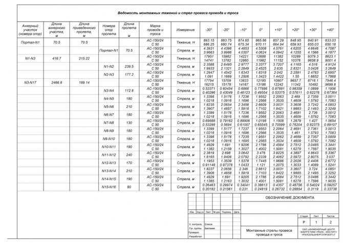
Результаты расчета тяжений и стрел провеса
Результатом расчета является таблица монтажных тяжений и стрел провеса проводов, тросов и кабелей. Данные, приведенные в этой таблице, помогают монтажникам при протяжке кабеля и предусматривают изменение стрелы провеса кабеля при различных погодных условиях.


Ведомость тяжений и стрел провеса оптического кабеля — Лист 1


Ведомость тяжений и стрел провеса оптического кабеля — Лист 2
Таким образом, исходя из картины поля, можно определить наиболее безопасную точку крепления кабеля. Имеется возможность получить картину изменения потенциала электрического поля во времени для любой точки подвеса оптического кабеля.
Запас кабеля при проектировании
Главное правило электрика – всегда оставлять запас. Такого же должен придерживаться проектировщик. Конечно, с этим правилом нужно обращаться в разумных пределах и помнить, что погонный метр кабеля стоит приличных денег заказчику, особенно если речь идет о больших сечениях медного кабеля.
Прежде всего, измерив длину, необходимо учесть запас на «змейку», добавив к длине 1-2% — требование СНиП 03.05.06-85 Электротехнические устройства п. 3.59. Данное требование распространяется и на прокладку кабелей по эстакадам – для образования стрелы провиса.
Запас на изгибы, повороты и отходы в соответствии с Письмом Госстроя СССР от 17 декабря 1979 г № 89-Д принимается 6%, обращаем Ваше внимание, это без учета запаса на «змейку». Несмотря на давность этого документа он является действующим.
Комментарии
Удивительно, но никто не оставил ни одного комменатрия. Вы можете стать первым!
Что делать если вы стали свидетелем опасного провисания ВЛ?
Ни в коем случае не следует находится вблизи, если провод провис и самостоятельно пытаться подпереть, подвязать или откусить кабель с целью наживы. Это может быть фатально и опасно, т.к. линия под напряжением мало чем отличается от той, которая без напряжения. В одной из наших статей мы рассказывали про шаговое напряжение, которое тесно связано с повреждением кабельной трассы. Настоятельно рекомендуем ознакомиться с материалом.
Как правило, у каждой линии или участка есть хозяин или ответственное лицо за энергохозяйство, которое несет полную ответственность за безопасную эксплуатацию вверенного ему оборудования. Его то и необходимо ставить в известность. В том случае, если это сделать проблематично, следует звонить в районную энергоснабжающую организацию или аварийную службу, МЧС, районную администрацию, мэрию.
Основание для расчета стрел провеса и тяжений оптического кабеля
Расчет стрел провеса проводов, кабелей и тросов, является одним из важнейших в проектировании любого линейного объекта, связанного с энергетикой и связью. Обеспечить габарит, предусмотренный нормативной документацией (Правила электроустановок) зачастую бывает непросто. Расчет монтажных стрел провеса позволяет предусмотреть все негативные воздействия окружающей среды и не допустить схлестывание ВОЛС с фазными проводами.
Для того, чтобы обеспечить долгое и плодотворное функционирование ВОЛС, необходимо выполнить расчет монтажных тяжений и стрел провеса для основных климатических режимов.


Изменение стрел провеса в зависимости от климатических характеристик
Как видно из рисунка, в различных климатических условиях стрелы провеса кабеля будут разными. Необходимо, чтобы безопасные габариты до уровня земли, пересекаемых сооружений и токонесущих элементов ВЛ соблюдались в любом из режимов.
Нормы провисания
Рассмотрим нормативы ПУЭ главы 2.4 и 2.5 по отношению к провисанию ВЛ высокого напряжения.
Как видно из таблиц от величины напряжения зависит расстояние от земли до ЛЭП, а также между проводами и другими объектами. Для сетей 380 вольт нормативы провисания согласно параграфу 2.4 ПУЭ такие:
- Над пешеходной зоной высота не ниже 3.5 метров, а над проезжей частью это расстояние должно быть на высоте не ниже пяти метров, ответвление ввода допускается делать на высоте 2.5 метра для провода СИП.
- Для линий с неизолированными проводниками высота не ниже трех с половиной метров над пешеходной зоной, и не менее 6 метров над проезжей частью дороги, ответвление допускается производить не ниже 2.75 метра.
- При прохождении СИП возле зданий, расстояние от кабеля до балкона составляет не менее одного метра и не менее двадцати сантиметров от провода до глухой стены.
- В случае с неизолированными проводниками расстояние от окон, террас и балконов составляет не менее полутора метров и не меньше одного метра вдоль глухой стены.
- Располагать ВЛ с неизолированными проводниками над строениями категорически запрещено из соображения безопасности.
Покупка
Купить провод с наиболее выгодными условиями можно, обратившись в нашу компанию. Мы работаем с проверенными производителями и не пользуемся услугами посредников, что позволяет сократить стоимость кабельно-проводниковой продукции до минимума. Оформление заказа производится самым быстрым и удобным способом – через сайт или по электронной почте. После получения вашей анкеты мы сразу приступаем к формированию условий покупки.
Мы работаем с физическими и юридическими лицами, занимаемся оптовой и розничной торговлей. В комплекте с изделием заказчик получает сертификат соответствия и паспорт качества. При необходимости наши консультанты ответят на все интересующие вас вопросы. Купить продукцию можно из имеющегося на складе ассортимента или у завода-производителя под заказ. Цена провода СИП-3 зависит от условий поставки и объема заказа. Для постоянных покупателей мы предусмотрели систему скидок и специальных предложений.
Как натянуть кабельную линию?
Если так вышло, что данный провод провис в вашей зоне ответственности (ответвление от основной магистрали до вашего объекта собственности) и в акте соглашения на поставку электроэнергии записаны точки разграничения баланса, то ВЛ на этом участке является полностью вашим хозяйством.
Любые действия на ЛЭП производятся полностью обесточив данный участок, отключением секции на РП или воздушными разъединителями, и обезопасив себя, наложением переносного заземления с двух сторон от места работы. Натянуть провисший проводник можно после подачи заявления и получения разрешения от оперативного персонала или лица ответственного за данный участок и присоединение, и после отключения ими вашей линии от напряжения.


Для восстановления нормативных габаритов ЛЭП необходимо отсоединить все вводы, убрать виновников провисания — стволы деревьев или их ветки. Раскрутить бандажи на изоляторах освободив провод, оставив его свободно лежать на траверсах опор. Натяжка кабеля производится, как правило, с концевой анкерной опоры, которая имеет дополнительные подпорки, расположенные вдоль линии электропередачи компенсирующие нагрузку. Производят натяжку неизолированным алюминиевым проводником. Можно взять бывший в употреблении кусок около 20 метров. Посредством бандажа он соединяется с натягиваемым участком линии. После этого укладывается в щечки изолятора и производится натяжка провода. Теперь необходимо закрепить на изоляторе основной, куском из трех жил алюминиевым проводом как показано на фото:


Такая процедура производится со всеми изоляторами, вдоль натягиваемой линии до крайней опоры. После натяжки подключаются отводы и удостоверившись в готовности и безопасности линии, подают заявку на подачу напряжения.
Натяжка провода СИП происходит аналогично выше описанному методу, с той лишь разницей что вместо изоляторов используется специальная крепежная арматура и анкера, как показано на фото ниже:


Обратите внимание! Натяжка проводов осуществляется с небольшим провисанием, около полуметра, для компенсации температурных изменений в летние и зимние периоды.
Для натяжки линии ЛЭП, СИП или тросовой проводки, как восстанавливаемой так и вновь прокладываемой, используют ручные лебедки, трещотки или «лягушки», растягивая кабель между пролетами или опорами, на участке к дому или гаражу. Фиксируя в натянутом состоянии к анкерам и крепежной арматурой. На видео ниже наглядно показывается, как натянуть провод от столба к дому:
Этапы подключения электричества к дому
А на этом видео вы можете просмотреть технологию натяжки провода ручной лебедкой:
Как натянуть СИП лебедкой
Вот и все, что мы хотели рассказать о том, как натянуть провод от столба к дому и куда звонить, если вы обнаружили что кабель между зданиями или опорами провис. Как вы видите, натяжку кабельной линии нужно доверять специалистам, которые с помощью приспособлений могут быстро, а главное безопасно выполнить все работы!
Провис СИП норма
Воздушные линии напряжением 0,4-20 кВ
Нормы и требования
ОКС 29.240.50 ОКП 33 0000
Дата введения 2011-12-01
Цели и принципы стандартизации в Российской Федерации установлены Федеральным законом от 27.12.2002 г. N 184-ФЗ «О техническом регулировании», а правила применения стандартов организации — ГОСТ Р 1.4-2004 «Стандартизация в Российской Федерации. Стандарты организаций. Общие положения».
СВЕДЕНИЯ О СТАНДАРТЕ
1 РАЗРАБОТАН Филиалом Открытого акционерного общества «Научно-технический центр электроэнергетики» — Институтом по проектированию сетевых и энергетических объектов (РОСЭП)
2 ВНЕСЕН Комиссией по техническому регулированию НП «ИНВЭЛ»
4 ВВЕДЕН ВПЕРВЫЕ









