- Статья
- Видео
Что важно знать
Заземление дома необходимо для того чтобы снизить напряжение соприкосновения до неопасного показателя. Благодаря ему потенциал направляется в землю и защищает человека от поражения электрическим током. В ПУЭ (Глава 1.7, п. 1.7.62.) указывается, что частный дом должен иметь сопротивление растекания при трехфазном питании 4 и 8 Ом (первое значение при 380 В, второе – 220 В), а при однофазном – 2 и 4 Ом.
Количество заземлителей необходимо выбрать таким образом, чтобы обеспечить нормативное сопротивление растеканию электрического тока. Чем меньше сопротивление — тем лучше, таким образом обеспечивается эффективность действия заземляющего устройства при выполнении функций защиты от действия электрического тока.
Электроды изготавливаются из меди, оцинкованной и черной стали. Профили сечения указаны на рисунке ниже:


Методика расчета
Расчет делается исходя от того, какое заземление используется. В формуле указывается количество используемых заземлителей, их длину и толщину. Также все зависит и от параметров грунта, который окружает частный дом.
Существует несколько вариантов установки заземлителей. Это такие методы, как:
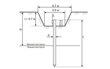
- Вертикальный. Делиться на два подвида: тот, что устанавливают у поверхности и тот, что монтируют с заглублением (предпочтительно на 70 см).
- Горизонтальный. Делиться на два подвида: с установкой по поверхности грунта и в траншее (предпочтительно 50 – 70 см).
Заземление включает в себя горизонтальные и вертикальные стержни, расчет которых осуществляется отдельно. В зависимости от длинны стержня, берется дистанция между ними, т. е. размер а должен быть кратен размеру L. Пример: а = 1xL; а = 2xL.


Формула, по которой делается расчет одиночного вертикального стержня, который не закапывается в почву, выглядит следующим образом:


где:
- p – удельное сопротивление почвы;
- l – длина заземлителя;
- D – диаметр электрода.
Примечание: если заземление имеет угловой профиль с шириной b, то d = 0.95b.
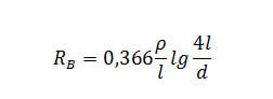
Расчет заземлителя, который монтируют с углублением на 70 см (h = 0,7 м) в землю, производится по следующей формуле:


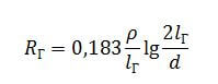
Горизонтальное заземление у поверхности рассчитывается по формуле:


Примечание: формула предоставлена для прямоугольного и трубного профиля с шириной полки b, для полосы считать d нужно с учетом d= 0.5b.
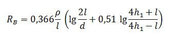
Расчет электрода, который располагается в траншее 70 см (h = 0,7 м), производится по следующей формуле:


Для полосы шириной b необходимо считать d =0,5 b.


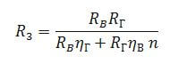
Расчет суммарного сопротивления заземлителя осуществляется следующим образом:


где:
- n – численность вертикальных заземлителей;
- Rв и Rг – сопротивления заземленных элементов;
- nв – коэффициент употребления заземлителей.
Этот коэффициент берется из таблицы:


Методом коэффициента использования можно определить, какое воздействие проявляют друг на друга токи растекания с заземлителей при их разнообразном размещении. Например, если их объединить параллельно, то токи растекания электродов имеют взаимное действие на каждый элемент. Поэтому при минимальной дистанции между элементами, сопротивление заземленного контура будет значительно больше.
Заземление происходит по нескольким схемам расположения электродов. Самой распространенной считается схема в виде треугольника. Но это не обязательная конфигурация электродов. Также их можно разместить в одну линию или последовательно по контуру. Такой вариант удобен в том случае, когда для обустройства системы был выделен небольшой узкий участок на земле.
Дополнительно вы можете проверить результат, воспользовавшись онлайн-калькулятором для расчета заземления!
Заземляющий проводник соединяет с электрическим щитом сам контур конструкции. Ниже приведены схемы:


При проведении расчетов заземления важно обеспечить точность, чтобы не допустить ухудшения электробезопасности. Чтобы не допустить ошибки в расчетах, вы можете воспользоваться специальными программами для расчета заземления в интернете, с помощью которых можно точно и быстро рассчитать нужные значения!
На видео ниже наглядно демонстрируется пример расчетных работ в программе Электрик:
Вот по такой методике производится расчет заземления для частного дома. Надеемся, предоставленные формулы, таблицы и схемы помогли вам самостоятельно справиться с работой!
Наверняка вам будет интересно:
- Схема электрического отопления дома
- Как сделать молниеотвод своими руками
- Что такое система уравнивания потенциалов