Схема соединения фаз электроприемников «звезда» получила очень широкое распространение в электроэнергетике. Принципиальная схема соединения звездой показана ниже:


Из схемы видно, что фазные напряжения приемника Ua, Ub, Uc не равны линейным напряжениям Uab, Ubc, Uca. Если применить к контурам aNba, bNcb, cNac второй закон Кирхгофа получим соотношение для фазных и линейных напряжений:
Если сопротивления нейтрального провода и линейных проводов не учитывать, то можно предположить, что напряжение на клеммах генератора и электроприемника равны. Вследствие указанного равенства векторные диаграммы для источника и приемника электрической энергии будут одинаковы.


Фазные и линейные напряжения приемника, как и источника, будут образовывать две симметричные системы напряжений. Соответственно между фазными и линейными значениями напряжений будет существовать определенная зависимость:
Далее будет показано, что соотношение (2) будет справедливо лишь при определенных условиях, а также в случае отсутствия нулевого провода, то есть в трехпроводной сети.
Исходя из указанного выше соотношения (2) можно сделать вывод, что соединение звездой лучше применять в случае, когда каждая фаза трехфазного электроприемника или однофазные приемники рассчитаны на напряжение в раз меньше, чем номинальное линейное напряжение сети.
Также из схемы соединения звезда (смотри схему выше) видно, что при соединении приемников звездой фазные токи будут равны линейным:
Применив первый закон Кирхгофа можно получить соотношение между токами при соединении электроприемников звездой:
Зная фазные токи с помощью формулы (4) можно вычислить ток нейтрального провода IN. В случае отсутствия нейтрального провода справедливо будет выражение:
Симметричная нагрузка при соединении приемников звездой
Нагрузка считается симметричной тогда, когда реактивные и активные сопротивления каждой фазы будут равны, то есть выполняется равенство:
Условие симметричности также может быть выражено через комплексные сопротивления Za = Zb = Zc.
Симметричная нагрузка в сети возникает при подключении трехфазных электроприемников. Будем считать, что данная система имеет нейтральный провод.
В отношении любой из фаз при симметричной нагрузке будут справедливы все формулы, полученные для однофазной сети, например для фазы А:
Так как в четырехпроводной цепи Ua = Ub = Uc = Uл / , то при симметричной нагрузке:
Векторная диаграмма при симметричной активно-индуктивной нагрузке приведена выше. Из приведенных выражений и векторной диаграммы следует, что при симметричной нагрузке образуется симметричная система токов, поэтому ток в нейтральном проводе будет равен IN = Ia + Ib + Ic = 0.
Отсюда можно сделать вывод, что при симметричной нагрузке отключение нейтрального провода не приведет к серьезным нарушениям работы электроприемников, то есть не произойдет изменение фазных напряжений, углов сдвига, токов, мощностей.
Из сказанного выше следует, что при симметричной нагрузке в нейтральном проводе нет необходимости, и довольно часто в симметричных системах нейтральный провод не применяется.
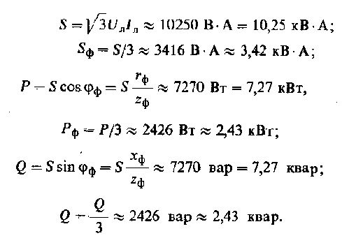
Мощность трехфазного приемника электрической энергии при симметричной нагрузке можно выразить формулами:
Как правило, для трехфазных приемников электрической энергии в качестве номинальных параметров указываются линейные напряжения и токи. Исходя из этого, целесообразней выражать мощность трехфазной цепи тоже через линейные напряжения и тока, поэтому подставим в формулу (6) линейные значения и получим:
Пример
К трехфазной электрической цепи с линейным напряжением Uл = Uab = Ubc = Uca = 380 В необходимо подключить трехфазный электроприемник, каждая фаза которого рассчитывается на фазное напряжение в 220 В и имеет активное сопротивление rф = 10 Ом и индуктивное сопротивление хф = 10 Ом, которые соединены последовательно. Необходимо определить мощности, углы сдвига между токами и напряжениями (cos φ) и фазные токи.
Решение
Каждая фаза потребителя электрической энергии рассчитана на напряжение в раз меньше номинального, то фазы потребителя нужно соединять в звезду. Поскольку нагрузка в данном случае симметричная, то нулевой провод (нейтраль) к потребителю можно не подводить.
Фазные тока, углы сдвига cos φ, а также полны сопротивления фаз будут иметь вид:


Активная, реактивная и полная мощности приемника, а также любой фазы будут равны:


Векторная диаграмма для данной системы приводилась выше.
Несимметричная нагрузка при соединении приемников звездой
Нагрузка трехфазной электрической сети будет считаться несимметричной, если хотя бы одно из фазных сопротивлений не равно другим. Проще говоря, сопротивления фаз не равны, например: ra = rb = rc, xa = xb ≠ xc. В общем случае считают, что несимметричная нагрузка возникает при отключении одной из фаз.
Возникает не симметрия чаще всего при подключении к трехфазной сети однофазных электроприемников. Они могут иметь различные мощности, режимы работы, различное территориальное расположение, что тоже влияет на величину фазной нагрузки.
В случае, когда необходимо подключить однофазные потребители электрической энергии, для более равномерной загрузки их делят на три примерно одинаковые по мощности группы.


Один вывод однофазных потребителей подключают к одной из трех фаз, а второй вывод подключают к нейтральному проводу. Так как все электроприемники рассчитываются на одно напряжение, то в пределах каждой фазы они соединяются параллельно.
Главной особенностью электрической сети несимметричной нагрузкой является то, что она должна в обязательном порядке иметь нейтральный провод. Это объяснимо тем, что при его отсутствии величины фазных напряжений будут в значительной степени зависеть от величины не симметрии сети, то есть от величин и характера сопротивления каждой из фаз. Поскольку сопротивления фаз могут варьироваться довольно в широких пределах в зависимости от количества подключенных электроприемников, также широко будет варьироваться и напряжения на потребителях электрической энергии, а это недопустимо.
Для иллюстрации выше сказанного ниже приведена векторная диаграмма для трехфазной несимметричной цепи при наличии нейтрального провода:


Ниже приведена приведена векторная диаграмма для этой же цепи, но при отсутствии нулевого рабочего (нейтрального) провода:


Также можно посмотреть видео, где объясняется, что может произойти в электрической цепи при обрыве нулевого провода:
Необходимость нулевого провода станет еще более очевидной, если представить, что вам необходимо подключить однофазного потребителя к одной из фаз, при этом остальные две подключать нельзя, так как приемник рассчитан на фазное напряжение 220 В, а не на линейное 380В, как в таком случае получить замкнутый контур для протекания электрического тока? Только использовать нулевой рабочий проводник.
Для повышения надежности соединения электроприемников в цепь нулевого рабочего проводника не устанавливают коммутационную аппаратуру (автоматические выключатели, предохранители или разъединители).
Фазные токи, углы сдвига, а также фазные мощности при несимметричной нагрузке будут различными. Для вычисления их фазных значений можно применить формулу (5), а вот для вычисления трехфазной мощности формула (6) уже не подходит. Для определения мощностей необходимо пользоваться выражением:
Если существует необходимость определения тока нейтрального провода, то необходимо решать задачу комплексным методом. Если существует векторная диаграмма, то определить ток можно по ней.
Пример
В осветительной электрической сети с напряжением в 220 В в фазе А включено 20 ламп, фазе В – 10 ламп, а в фазе С – 5 ламп. Параметры лампы Uном = 127 В, Рном = 100 Вт. Необходимо определить ток нейтрального провода и каждой лампы.
Несимметричный режим трехфазных цепей
| • Трехфазные цепи • |
- Трехфазные системы
- Соединение обмоток генератора звездой
- Соединение обмоток генератора треугольником
- Соединение приемников энергии звездой
- Соединение приемников энергии треугольником
- Несимметричный режим трехфазных цепей
- …
| • Обзор сайта • |
- Электрооборудование до 1000 В
- Электрические аппараты
- Электрические машины
- Эксплуатация электро оборудования
- Электрооборудование электротехнологических установок
- Электрооборудование общепромышленных установок
- Электрооборудование подъемно-транспортных установок
- Электрооборудование металлообрабатывающих станков
- Электрооборудование выше 1000 В
- Электрические аппараты высокого напряжения
- Электротехника
- Электрическое поле
- Электрические цепи постоянного тока
- Электромагнетизм
- Электрические машины постоянного тока
- Основные понятия,отно сящиеся к переменным токам
- Цепи переменного тока
- Трехфазные цепи
- Электротехнические измерения и приборы
- Трансформаторы
- Электрические машины переменного тока
- Электромонтаж
- С чего начинается электро монтаж энергоснабжения электрооборудования и электропроводки
- Монтаж электропроводки
- Расчёт потребляемой мощ ности,сечения кабеля и номинала автоматического выключателя
- Электромонтажные работы и прокладка кабеля в жилых и нежилых помещениях
- Электромонтажные работы по расключению распаечных коробок и электрооборудова ния
- Электромонтаж и заземле ние розеток
- Электромонтаж уравнива ния потенциалов
- Электромонтаж контура заземления
- Электромонтаж модульного штыревого контура заземле ния
- Электромонтаж нагреватель ного кабеля для подогрева полов
- Электромонтажные работы по прокладке кабеля в зем ле
- Электричество в частном доме
- Проект электроснабжения
| • Электротехника • |
- Электрическое поле
- Электрические цепи постоянного тока
- Электромагнетизм
- Электрические машины постоянного тока
- Основные понятия,отно сящиеся к переменным токам
- Цепи переменного тока
- Трехфазные цепи
- Электротехнические измерения и приборы
- Трансформаторы
- Электрические машины переменного тока
- …
ЭЛЕКТРОСПЕЦ
ЭЛЕКТРОСПЕЦ
а) Назначение нулевого провода. При несимметричной нагрузке звездой без нулевого провода (на рис. 11.19 ключ разомкнут) сопротивления всех фаз неодинаковы: ZА ZВ ZС . Вследствие этого появляется напряжение смещения нейтрали UN’N , определяемое по формуле двух узлов:
Это напряжение UN, действующее между точками N и N’ (рис. 11.19), показано на рис. 11.20. При любом направлении вектора UN напряжения на фазах нагрузки будут неодинаковы.


При включении и выключении приемников проводимости фаз YА, YB и YC изменяются произвольным образом, это приводит к изменению напряжения смещения нейтрали UN, ведущее, в свою очередь, к произвольному изменению напряжений на фазах нагрузки. Подавляющее большинство электросиловых приемников функционирует только при номинальном питающем напряжении. Поэтому соединение звездой без нулевого провода для несимметричной или изменяемой нагрузки практически не используется вследствие невозможности обеспечить номинальное питающее напряжение. При большом числе приемников, статистически в «среднем» обеспечивающих примерно одинаковую нагрузку фаз, несмотря на включение и выключение отдельных потребителей, смещение нейтрали невелико. Это позволяет использовать соединение звездой без нулевого провода для мощных линий электропередач на трансформаторные подстанции напряжением до 6,3 кВ. Соединение звездой без нулевого провода используется и в устройствах, предназначенных для контроля и анализа режимов трехфазных цепей.
б) Соединение звездой с нулевым проводом. Для соединения звездой с нулевым проводом (на рис. 11.19 ключ замкнут) определим напряжение нейтрали также по формуле двух узлов:
В реальных системах электроснабжения проводимость нулевого провода YN много больше проводимостей фаз и практически можно считать, что сопротивление нулевого провода близко к нулю. Тогда при YN→ ∞ знаменатель в выше написанной формуле стремится к бесконечности, UN→ 0 и при наличии нулевого провода с достаточно малым сопротивлением смещение потенциала нулевой точки N’ нагрузки отсутствует. На фазах нагрузки независимо от их сопротивлений поддерживаются напряжения, составляющие симметричную трехфазную систему. Токи фаз нагрузки определяются по закону Ома:
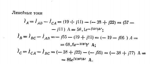
На рис. 11.22 показана векторная диаграмма токов при несимметричной активной нагрузке. Из векторной диаграммы видно, что токи фаз при несимметричной нагрузке не равны по модулю, а в общем случае смещены по фазе на углы, не равные 120°, т. е. они не представляют симметричную трехфазную систему. Ток нейтрального провода (см. рис. 11.14) можно определить по первому закону Кирхгофа для узла N’ — рис. 11.22 (на рисунке изображен вспомогательный вектор тока, равный сумме токов IА+ IС):
Чем больше несимметрия фаз нагрузки, тем больше «уравнительный» ток IN нулевого провода.
Соединение звездой с нулевым проводом повсеместно используется для электропитания жилых и общественных зданий, производственных приемников энергии и в других случаях с многочисленными приемниками, включаемыми и выключаемыми независимо друг от друга.
в) Соединение треугольником. Если пренебречь сопротивлением соединительных проводов, то напряжения на фазах нагрузки равны линейным напряжениям трехфазного источника . Фазные токи при несимметричной нагрузке ZАB ZВС ZСA определяются по закону Ома:
На рис. 11.25 показана векторная диаграмма токов при несимметричной активной нагрузке. Линейные токи определяются по первому закону Кирхгофа для узлов А, В и С рис. 11.17:
Как видно из векторной диаграммы (рис. 11.25), линейные токи не равны по модулю и смещены по фазе на углы, не равные 120°. В общем случае и фазные токи не равны по модулю и смещены по фазе на углы, не равные 120°.


Векторная диаграмма линейных токов показана на рис. 11.25.
г) Аварийные режимы в трехфазных цепях. Частными случаями несимметричных режимов являются аварийные режимы в трехфазных цепях: обрывы нейтрального и линейных проводов, КЗ в фазах. Абсолютно безопасными являются разрывы в фазах нагрузки, соединенной треугольником или звездой с нулевым проводом (отключения фаз) Аварийными, пожароопасными являются КЗ фаз нагрузки таких соединений. Все другие случаи приводят к резкому изменению номинальных напряжений на фазах нагрузки и могут привести к аварийной ситуации. Обрыв нулевого провода несимметричной звезды был рассмотрен в примере 11.9.

