Заземление — одна из основных мер безопасности при использовании электрических приборов. В случае износа внутренней изоляции под напряжением может оказаться внешний корпус техники, при касании к которому может случится поражение электрическим током. Именно для предотвращения таких происшествий и организуется монтаж заземления. А чтобы защитная конструкция была максимально эффективной, необходимо провести её расчёт заземления, который может отличаться в зависимости от множества исходных факторов.
Виды заземляющих конструкций
Для организации заземления используются проводники из металлоконструкций различной формы (балка, труба, уголок и так далее). Эти базисные элементы могут быть использованы в одной из трёх основных систем:
- С использование одиночного глубинного заземлителя;
- Монтаж комплексной модульной конструкции;
- Организация электролитического заземления.


Вне зависимости от типа выбранной конструкции, её сопротивление должно укладываться в определённые рамки. Для трёхфазной сети на 380 Вольт сопротивление заземления должно составлять не более 4 Ом. Более распространённая однофазная сеть на 220 Вольт потребует не более 8 Ом. Также предварительные расчёты позволяют заранее определиться с количеством необходимых материалов, что даёт возможность существенно сэкономить.
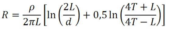
Формула расчёта одиночного заземлителя
Существует ряд факторов, влияющих на окончательный результат расчёта заземляющей конструкции, а именно:
- Используемые материалы (решающие значение имеет вид металла, но немаловажным могут быть и показатели электролита);
- Форма элементов-электродов (влияет незначительно);
- Расстояние между элементами электродами;
- Глубина, на которую погружается монтируемый контур.
Необходимо отметить, что для получения системы, имеющий сопротивление в 4–8 Ом, применяемые металлические элементы должны обладать определёнными минимальными параметрами:
- Плоская балка — 12 мм в ширину, 4 мм в высоту;
- Уголок — 4 мм в высоту
- Шест — диаметр не менее 10 мм;
- Труба — толщина не менее 3.5 мм.
Расчёт защитного заземления можно провести при помощи специализированного программного обеспечения или онлайн-калькуляторов. Но для их правильного использования необходимо знать общую формулу, по которой проводятся вычисления и значение всех переменных. Традиционно в рассматриваемой формуле используются следующие обозначения:
- R — расчётное заземление (Ом);
- L — протяжённость заземляющего элемента-заземлителя (м);
- d — диаметр элемента (м);
- T — заглубление: расстояние между от середины каждого заземляющего элемента до поверхности грунта (м);
- ρ — сопротивление грунта (Ом×м). Смотрите таблицу.
- π — число Пи (3.14)
Расчёт такого типа контура заземления производится по такой формуле:




Измерить все перечисленные значения не составить большой трудности, за исключением разве что параметра ρ. Произвести эту процедуру можно самостоятельно при помощи Омметра, но нужно понимать, что полученные данные могут существенно изменяться при изменении температуры, влажности и других параметров окружающей среды. Поэтому гораздо удобнее будет воспользоваться усреднёнными табличными данными:
| Тип грунта | Параметр сопротивление грунта в диапазоне от –5 до –20°С |
| Песок | 5000–11000 |
| Супесь | 1100–1500 |
| Влажная глина | 550–3000 |
| Каменистая глина | 1000–12000 |
| Известняк | 3000–12500 |
| Торф | 500–1000 |
| Суглинок | 1200–3500 |
Формула расчёта системы заземлителей
С целью достижения оптимального значения сопротивления создаваемой конструкции одиночные заземлители можно расположить в ряд или сформировать из них замкнутый контур (круг, прямоугольник или любую другую фигуру). Для расчёта такого заземления в указанную выше формула войдут дополнительные параметры:
- R1 — искомое сопротивление (Ом);
- R — сопротивление, вычисленное по базовой формуле (Ом);
- N — число элементов в системе заземлителей;
- Ки — коэффициент использования.
О последнем параметре необходимо рассказать подробнее. Вокруг каждого электрода, используемого для заземления электрического тока, можно представить воображаемую зону, в которой его эффективность достигает 90 %. Она формируется из всех точек, удалённых от поверхности электрода на расстояние, равное его длине. При расчёте заземление необходимо избегать пересечения этих зон, что позволяет достичь максимального коэффициента полезного действия формируемой системы.


Для подсчётов удобнее всего пользоваться табличными значениями, полученных в результате практического применения формулы.
| Система заземления при расположении электродов последовательно | ||
| Расстояние между электродами (где L это длинна используемого электрода) | Количество заземляющих элементов в системе | Коэффициент использования |
| L | 5 | 0.7 |
| L | 10 | 0.6 |
| L | 15 | 0.53 |
| L | 20 | 0.5 |
| 2L | 5 | 0.81 |
| 2L | 10 | 0.75 |
| 2L | 15 | 0.7 |
| 2L | 20 | 0.67 |
| Система заземления при размещении электродов в замкнутый контур | ||
| Расстояние между электродами (где L это длинна используемого электрода) | Количество заземляющих элементов в системе | Коэффициент использования |
| L | 5 | 0.65 |
| L | 10 | 0.55 |
| L | 15 | 0.51 |
| L | 20 | 0.45 |
| 2L | 5 | 0.75 |
| 2L | 10 | 0.69 |
| 2L | 15 | 0.66 |
| 2L | 20 | 0.63 |
Сама же формула выглядит следующим образом:


Таким образом, если предварительно вычислить переменную и взять её за константу, то по данной формуле можно вычислить оптимальный набор электродов, необходимый для создания заземляющей конструкции:


При это стоит учитывать, что скорее всего полученное значение будет дробным, поэтому его необходимо будет округлить в большую сторону.
Формула расчёта электролитического заземления
В упрощённой модели электролитическую систему заземления можно описать как металлическую трубу, заполненную веществом-электролитом. Это вещество повышает сопротивление всей конструкции и, что более важно, способствует сохранению её параметров с течением времени. Это достигается за счёт того, что со временем электролит проникает в почву и накапливается в ней.


Помимо описанных выше параметров в формуле расчёта электролитического заземления используется параметр C, который описывает концентрацию электролита в почве. Его допустимые значения могут колебаться в промежутке между 0.5 и 0.05. Чем дольше рассматриваемая система находится в грунте, тем меньше становится значение этого параметра: если при начале установки он равнялся 0.5, то через полгода он составить всего 0.125 (но дальнейшее его падение прекратиться).
В этом случае требуемая формула будет такой:


Если в монтируемой системе присутствует несколько электродов электролитического типа, тогда её сопротивление может быть рассчитано по формуле из предыдущего раздела. С той лишь разницей, что коэффициент использования тут будет несколько иной:
| Система заземления при использовании электролитических электродов | |
| Количество электродов | Коэффициент использования |
| 2 | 1 |
| 5 | 0.99 |
| 10 | 0.93 |
| 20 | 0.8 |
В данной статье мы рассмотрели основные типы электрического заземления и все необходимые формулы для их расчёта. Очевидно, что в основе всех вычислений лежит расчёт контура одиночного заземления, в то время как два основных вида получаются при помощи его расширения и доработки. Стоит ещё раз указать на то, что большую одну из ключевых ролей в организации эффективного заземления играет расстояние между электродами, которое не должно быть меньше их отдельной длинны. Все приведённые выше вычисления можно существенно упростить, если воспользоваться специализированным программным обеспечением или онлайн-инструментами. Обладая минимум знаний о том, какие параметры участвуют в расчёте заземления, эти утилиты позволят существенно сократить время проведения работ, при этом обеспечивая довольно высокую точность.