Вы планируете заняться модернизацией электросети или дополнительно протянуть силовую линию на кухню для подключения новой электроплиты? Здесь пригодятся минимальные знания о сечении проводника и влиянии этого параметра на мощность и силу тока.
Согласитесь, что неправильный расчёт сечения кабеля приводит к перегреву и короткому замыканию или к неоправданным расходам.
Очень важно провести вычисления на стадии проектирования, так как выход из строя скрытой проводки и последующая замена сопряжена со значительными издержками. Мы поможем вам разобраться с тонкостями проведения расчетов, чтобы избежать проблем при дальнейшей эксплуатации электросетей.
Чтобы не нагружать вас сложными расчетами, мы подобрали понятные формулы и варианты вычислений, привели информацию в доступном виде, снабдив формулы пояснениями. Также в статью добавили тематические фото и видеоматериалы, позволяющие наглядно понять суть рассматриваемого вопроса.
Необходимость расчётов
Современные электрические сети должны отвечать следующим требованиям:
- безопасность эксплуатации;
- надёжность функционирования;
- экономичность потребления.
Расчёт сечения кабеля по мощности либо другому параметру, в первую очередь, необходим для соблюдения этих требований.
При недостаточной площади поперечного сечения проводки, нагрузка на неё резко возрастает и в результате приводит к перегреву. В свою очередь это чревато аварийными ситуациями, наносящими вред не только электрооборудованию, но и пользующимся им людям.
Завышенное от номинального поперечного сечения кабеля позволяет безопасно использовать приборы и устройства. Однако такой подход оборачивается неоправданным расходом средств на более дорогие коммуникации. Грамотный расчёт сечения кабеля позволяет соблюсти баланс между безопасностью и ценой энергетических линий.
Приведём небольшой пример. Задача – определить сечение провода для пяти киловатт. Для решения необходимо воспользоваться таблицами ПУЭ. Это регламентирующий справочный документ, полное название– «Правила устройства электроустановок» в нём указаны 4 основных критерия, определяющих сечение проводки:
- вид напряжения – одна или три фазы;
- материал, из которого изготовлен проводник;
- способ укладки проводника;
- ток в амперах или мощность в киловаттах.


Кабель, проложенный открытым способом Источник krepezhinfo.ru
В этом справочнике имеется необходимая нам таблица сечения кабеля. Однако значение пять киловатт в ней отсутствует. В таких случаях берётся следующая большая величина, в нашем случае, пять с половиной киловатт.
Современная проводка в квартирах изготавливается из меди и прокладывается по воздуху. Исходя из этих параметров для решения поставленной задачи подойдёт проводник сечением два с половиной миллиметра. При этом сеть должна создавать не более двадцати пяти ампер токовой нагрузки.
Особенности электрических проводов
Наиболее широкое применение находят марки проводов ПУHП и ПУГHП, а также ВПП, ПHCB и PKГM, которые обладают следующими, очень важными для получения безопасного подключения основными техническими характеристиками:
- ПУНП — плоское проводное изделие установочного или так называемого монтажного типа, с однопроволочными жилами из меди в ПВХ-изоляции. Такая разновидность отличается количеством жил, а также номинальным напряжением в пределах 250 В с частотой 50 Гц и температурным эксплуатационным режимом от минус 15 °C до плюс 50 °C;
- ПУГНП — гибкая разновидность с многопроволочными жилами. Основные показатели, которые представлены номинальным уровнем напряжения, частотой и температурным эксплуатационным режимом, не отличаются от аналогичных данных ПУHП;
- AПB — алюминиевая одножильная разновидность, круглый провод, имеющий защитную ПВХ-изоляцию и однопроволочную или многопроволочную жилу. Отличием данного вида является устойчивость к повреждениям механического типа, вибрациям и химическим соединениям. Температурный эксплуатационный режим составляет от минус 50 °C до плюс 70 °C;
- ПBC — многожильная медная разновидность с ПBX-изоляцией, придающей проводу высокие показатели плотности и традиционную округлую форму. Термоустойчивая жила рассчитана для номинального уровня 380 В при частоте 50 Гц;
- PKГM — силовая монтажная разновидность, представленная одножильным медным проводом с кремнийорганической резиновой или стекловолоконной изоляцией, пропитанной термостойким составом. Температурный эксплуатационный режим составляет от минус 60 °C до плюс 180 °C;
- ПHCB — нагревательная одножильная разновидность в виде однопроволочного провода на основе оцинкованной или вороненой стали. Температурный эксплуатационный режим составляет от минус 50 °C до плюс 80 °C;
- ВПП — одножильная медная разновидность с многопроволочной жилой и изоляцией на основе ПBX или полиэтилена. Температурный эксплуатационный режим составляет от минус 40 °C до плюс 80 °C.
В условиях невысокой мощности применяется медный провод ШBBП с защитной внешней ПBX-изоляцией. Многопроволочного типа жила обладает прекрасными показателями гибкости, а само проводное изделие рассчитано максимум на 380 В, при частоте в пределах 50 Гц.
Проводные изделия самых распространенных типов реализуются в бухтах, и чаще всего имеют белое окрашивание изоляции.
Площадь поперечного сечения проводника
В последние годы отмечается заметное понижение качественных характеристик изготавливаемой кабельной продукции, в результате чего страдают показатели сопротивления — сечение проводов. Диаметр любого проводника в обязательном порядке должен обладать соответствием всем заявленным производителем параметрам.
Любое отклонение, составляющее даже 15-20 %, может стать причиной значительного перегрева электрической проводки или оплавления изоляционного материала, поэтому выбору площади или толщины проводника нужно уделять повышенное внимание не только на практике, но и с точки зрения теории.


Поперечное сечение проводников
Параметры, наиболее важные для правильного выбора сечения проводника, отражены в следующих рекомендациях:
- толщина проводника — достаточная для беспрепятственного прохождения электротока, при максимально возможном нагреве провода в пределах 60 °C;
- сечение проводника — достаточное для резкого понижения напряжения, не превышающего допустимые показатели, что особенно важно для очень длинной электропроводки и значительных токов.
Особое внимание требуется уделять максимальным показателям рабочего температурного режима, при превышении которого проводник и защитная изоляция приходят в негодность.
Сечением используемого проводника и его защитной изоляцией должна в обязательном порядке обеспечиваться полноценная механическая прочность и надежность электрической проводки.
Формула поперечного сечения проводника
Как правило, провода обладают круглым сечением, но допустимые токовые показатели должны рассчитываться согласно площади поперечного сечения. С целью самостоятельного определения площади сечения в одножильном или многожильном проводе осторожно вскрывается оболочка, представляющая собой изоляцию, после чего в одножильном проводнике замеряется диаметр.
Площадь определяется в соответствии с хорошо известной даже школьникам физической формулой:
S = π х D²/4 или S = 0,8 х D², где:
- S является площадью сечения в мм2;
- π — число π, стандартная величина, равная 3,14;
- D является диаметром в мм.


Проводник
Замеры многожильного провода потребуют его предварительного распушения, а также последующего подсчета количества всех жилок внутри пучка. Затем измеряется диаметр одного составляющего элемента и вычисляется площадь сечения в соответствии со стандартной формулой, указанной выше. На заключительном этапе замеров суммируются площади жилок с целью определения показателей их общего сечения.
С целью определения диаметра проводной жилы используется микрометр или штангенциркуль, но при необходимости можно воспользоваться стандартной ученической линейкой или сантиметром. Замеряемую жилку провода нужно максимально плотно намотать на палочку двумя десятками витков. При помощи линейки или сантиметра требуется замерить расстояние намотки в мм, после чего показатели используются в формуле:
D = l/n,
Где:
- l представлено расстоянием намотки жилки в мм;
- n является числом витков.
Следует отметить, что большее сечение провода позволяет обеспечивать запас по показателям тока, в результате чего уровень нагрузки на электропроводку можно незначительно превышать.
Чтобы самостоятельно определить проводное сечение монолитной жилы, требуется посредством обычного штангенциркуля или микрометра выполнить замеры диаметра внутренней части кабеля без защитной изоляции.
Таблица соответствия диаметров проводов и площади их сечения
Определение кабельного или проводного сечения по стандартной физической формуле относится к числу достаточно трудоемких и сложных процессов, не гарантирующих получение максимально точной результативности, поэтому целесообразно использовать с этой целью специальные, уже готовые табличные данные.
| Диаметр кабельной жилы | Показатели сечения | Проводники с жилой медного типа | ||
| Мощность в условиях сети 220 В | Ток | Мощность в условиях сети 380 В | ||
| 1,12 мм | 1,0 мм2 | 3,0 кВт | 14 А | 5,3 кВт |
| 1,38 мм | 1,5 мм2 | 3,3 кВт | 15 А | 5,7 кВт |
| 1,59 мм | 2,0 мм2 | 4,1 кВт | 19 А | 7,2 кВт |
| 1,78 мм | 2,5 мм2 | 4,6 кВт | 21 А | 7,9 кВт |
| 2,26 мм | 4,0 мм2 | 5,9 кВт | 27 А | 10,0 кВт |
| 2,76 мм | 6,0 мм2 | 7,7 кВт | 34 А | 12,0 кВт |
| 3,57 мм | 10,0 мм2 | 11,0 кВт | 50 А | 19,0 кВт |
| 4,51 мм | 16,0 мм2 | 17,0 кВт | 80 А | 30,0 кВт |
| 5,64 мм | 25,0 мм2 | 22,0 кВт | 100 А | 38,0 кВт |
| 6,68 мм | 35,0 мм2 | 29,0 кВт | 135 А | 51,0 кВт |
Выбор сечения проводника по мощности
Выбирая сечение кабеля по мощности необходимо вычислить её суммарную величину. Для этого составляется перечень всех электроприборов на объекте. Как на устройствах, так и в технической документации к ним обозначается потребляемая мощность. Она может быть указывается в ваттах и киловаттах. Сложив показатели всех приборов получаем окончательную сумму.
Если выбирается проводка для отдельной линии, к которой будет подключён один прибор, то информация берётся только о его энергопотреблении. Например, средний утюг потребляет один киловатт. Само сечение можно подобрать используя ПУЭ. Ниже приведены две таблицы для медных и алюминиевых проводников соответственно.

Сечение провода и мощность Источник m-strana.ru

Таблица сечения кабеля по мощности и току для алюминиевых проводников Источник m-strana.ru
Помимо данных приведённых в таблицах необходимо учитывать тип сети – одна фаза или три. От этого напрямую зависит напряжение одна фаза – это 220 вольт, а три 380 вольт. Мы привели таблицы для медных и алюминиевых проводников. Медь более предпочтительный материал поскольку она:
- обладает высокой электропроводностью;
- прочная;
- стойкая к окислению;
- упругая.
Превосходя по многим показателям алюминиевые проводники, медные имеют всего одни недостаток – высокую стоимость. В домах советской постройки, как правило, проложены провода из алюминия. Поэтому при ремонте желательно использовать такие же.
Исключением может служить капитальный ремонт с полной заменой коммуникаций до распределительного щита. В таком случае лучше использовать медные проводники. Прямой контакт между двумя видами проводки недопустим. Это приводит к окислению, нагреву и коротким замыканиям. Для соединения используют специальные проводники из третьего метала.
Какой кабель лучше: медный или алюминиевый
Не будем глубоко вникать в этот вопрос. Просто сделаем небольшой сравнительный анализ.
- Медный кабель более прочный и гибкий. При многократном изгибе он не ломается.
- Медь хоть и окисляется, но не так интенсивно, как алюминий. Поэтому контакты эксплуатируются дольше.
- Показатель проводимости медных жил почти в два раза больше, чем у медных. Отсюда и более высокая нагрузка, которую медный кабель выдерживает.
- Алюминиевый провод почти в четыре раза дешевле медного.


Для внутренней разводки электропроводки рекомендуется применять медный кабель
Существуют современные правила проведения электрической разводки. Так вот в них рекомендуется внутреннюю разводку проводить медными проводами, а внешнюю алюминиевыми.
Выбор сечения проводника по току
Для оптимального подбора проводника одной мощности мало и надо уметь рассчитывать сечение кабеля по току. Его сила зависит от нескольких факторов:
- длины;
- температуры;
- удельного сопротивления;
- ширины.
Если проводник нагревается, то сила тока в нем падает. В справочниках все данные указываются исходя из средней комнатной температуры восемнадцать градусов. Чтобы выбрать сечение проводки согласно току, опять обратимся к таблицам из ПУЭ. Ниже приведены таблицы для проводников из разных металлов.

Таблица сечений медного проводника с изоляцией из ПВХ или резины Источник m-strana.ru

Таблица сечений алюминиевого проводника с изоляцией из ПВХ или резины Источник m-strana.ru
Для того чтобы рассчитать сечение приблизительно, сила тока делится на десять. В случае отсутствия необходимого значения в таблице, берётся ближайшая большая величина. Однако это правило действует только для медных проводников максимальный ток для которых не превышает сорок ампер.
В диапазоне от сорока до восьмидесяти ампер, сила тока делится уже на восемь. Что касается алюминиевых проводников, то деление производится на шесть. Это связано с тем, что для выдерживания одинаковых нагрузок провод из алюминия должен быть толще чем медный.
Смотрите также: Каталог компаний, что специализируются на электроснабжении частных домов.
Расчёт для многожильного провода
Многожильный провод (многопроволочный) представляет собой свитые вместе одножильные проволоки. Кто хоть немного дружит с математикой, тот прекрасно понимает, что необходимо посчитать количество этих проволочек в многожильном проводе. После этого измеряется сечение одной тонкой проволочки и умножается на их общее количество. Рассмотрим следующие варианты.
Расчёт с помощью штангенциркуля
Измерение проводится штангенциркулем с обычной шкалой (или микрометром). У опытных мастеров этот инструмент всегда находится под рукой, но не все же профессионально занимаются электрикой.
Для этого на примере кабеля ВВГнг разрежьте ножом толстую оболочку и разведите жилы в разные стороны.


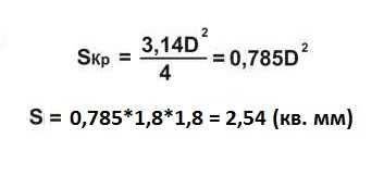
Потом выберете одну жилу и зачистите ножом или ножницами. Далее произведите замер этой жилы. Должен получиться размер 1,8 мм. В качестве доказательства правильности измерения обратитесь к расчетам.


Полученная в результате вычисления цифра 2,54 мм2 – это фактическое сечение жилы.
Измерение с помощью ручки или карандаша
Если у вас не оказалось под рукой штангенциркуля, то можно воспользоваться подручными методами, используя карандаш и линейку. Сначала возьмите измеряемый провод, зачистите его и намотайте на карандаш или ручку так, чтобы витки ложились вплотную друг другу. Чем больше витков, тем лучше. Теперь подсчитаем количество намотанных витков и измерим их общую длину.


К примеру, получилось 10 витков с общей длиной намотки 18 мм. Нетрудно подсчитать диаметр одного витка, для этого общую длину делим на количество витков.
В результате всех производимых расчётов по формуле получите искомый диаметр жилы. В этом случае он составляет 1,8 мм. Так как диаметр одной жилы известен, то нетрудно посчитать сечение всего провода ВВГнг по известной уже формуле.
Можно заметить, что результаты получились равными.
Использование таблиц
Как можно узнать и измерить сечение кабеля, если под рукой не оказалось ни штангенциркуля, ни линейки, ни микрометра. Вместо того чтобы ломать себе голову над сложными математическими формулами, достаточно вспомнить, что есть уже готовые таблицы значений для измерения сечения кабеля. Существуют, конечно, очень сложные таблицы с множеством параметров, но, в принципе, для начала достаточно воспользоваться самой простой из двух колонок. В первой колонке вписывается диаметр проводника, а во второй колонке приводятся готовые значения сечения провода.


Таблица сечения проводя для закрытой проводки
Существует и другой «приблизительный» метод, который не требует измерения толщины отдельных проводков. Можно просто измерить сечение (диаметр) всего толстого свитка. Таким методом обычно пользуются опытные электрики. Они могут узнать сечение кабеля как «на глаз», так и с помощью инструментов.
Выбор сечения проводника по мощности и длине
От длины проводника зависит напряжение, которое поступает в конечную точку. Может сложиться ситуация, когда в точке потребления напряжение окажется недостаточным для работы электроприборов.
В бытовых электро-коммуникациях этими потерями пренебрегают и берут кабель на десять-пятнадцать сантиметров длиннее необходимого. Этот излишек расходуется на выполнение коммутации. При подсоединении к распределительному щиту, запас увеличивают, учитывая необходимость подключения защитных автоматов.

Кабель, проложенный закрытым способом Источник kadetbrand.ru
Прокладывая линии большой протяжённости следует брать во внимание неизбежное падение напряжения. У любого есть собственное сопротивление, на которое влияют три основных фактора:
- Длина, измеряемая в метрах. При увеличении этого показателя увеличиваются потери.
- Поперечное сечение, измеряемое в квадратных миллиметрах. Если этот параметр увеличивается, то снижается падение напряжения.
- Сопротивление материала проводника, значение которого берётся из справочных данных. Они показывают эталонное сопротивление провода сечением один миллиметр и длиной один метр.
Произведение сопротивления и силы тока численно отражает падение напряжения. Эта величина не должна превышать пяти процентов. Если она превышает данный показатель, то необходимо брать проводник с большим сечением.
Зачем надо точное значение


Узнают сечение покупаемых кабелей, чтобы подобрать подходящий для определенной цели. Если проводник не будет соответствовать по этому параметру, то возникает повышенная опасность возгорания. Так, нельзя брать кабель или электропровод, у которого этот параметр ниже допустимой нормы, так как он будет сильно греться во время эксплуатации. Такой нагрев постепенно будет снижать запас прочности изоляции и по итогу произойдет ее пробой и, возможно – последующее возгорание.
Кроме необходимости перепроверки указанного в спецификации значений при покупке нового провода, узнать точное сечение может быть нужно и в других ситуациях. Одна из самых распространенных – это необходимость замены уже отработавшего токопроводного элемента. Его параметры нельзя посмотреть, так как такие сведения редко помнят или сохраняют где-то записанными. Если брать новый провод «на глаз», то также возможно его возгорание после ввода в эксплуатацию.
Сечение и способ укладки
Ещё один фактор который влияет на выбор сечения проводника – способ прокладки линий. Их существует два:
- открытый;
- закрытый.
При первом способе проводка укладывается в специальный короб или гофрированную трубу и находится на поверхности стены. Второй вариант предполагает замуровывание кабеля внутрь отделки или основного тела стен.
Здесь основное значение играет теплопроводность окружающей среды. В грунте тепло от кабеля отводится лучше, чем на воздухе. Поэтому при закрытом способе берутся провода с меньшим сечением чем при открытом. В таблице ниже указано как влияет способ укладки на сечение проводника.

Способ укладки и сечение проводника Источник m-strana.ru
Выводы
Для обустройства новой электросети в своем доме необходимо предварительно рассчитать суммарную мощность электрооборудования, которое будет подключаться к розеткам. При совершении окончательного выбора важно определиться с уровнем сечения. Категорически запрещается использовать провода и кабели, сечение которого меньше требуемого. Это может привести к нагреву и расплавлению изоляции, короткому замыканию, а также ряду других неприятностей. Если вы планируете использовать импортную продукцию, ознакомьтесь с расшифровкой маркировок.


На вводном участке соединение проводов разного сечения запрещается. Величина сечения постепенно уменьшается — чем ближе к розетке, тем меньшим оно будет. При выборе схемы, в которой одна розетка будет одновременно питать все приборы, установленные в одном помещении, диаметр проводки следует увеличить. Рекомендуется делать упор на товары, изготовленные из меди, так как они демонстрируют хорошую стойкость к перегрузкам, а также являются более долговечными.
Сводная таблица
Существуют таблицы, которые позволяют определить необходимо сечение используя сразу несколько параметров – ток, мощность, материал проводника и так далее. Они более удобны в использовании и одна из них размещена ниже. В ней указано сечение провода по току и мощности, а также учитывается способ укладки.

Сечение провода по току и мощности – таблица для медных и алюминиевых проводников Источник tvz2.ru